
최근에 발표된 "Prospective Quebec (PROQ) Cohort on Work and Health" 연구가 직장에서의 심리사회적 스트레스와 관상동맥 심장 질환(CHD) 위험 사이의 관계에 대해 중요한 발견을 했습니다. 이 연구는 특히 남성과 여성 사이의 차이에 초점을 맞추었는데요, 이 포스트에서는 그 연구 결과가 우리 일상생활에 어떤 의미를 가지는지 살펴보겠습니다.
주요 발견들

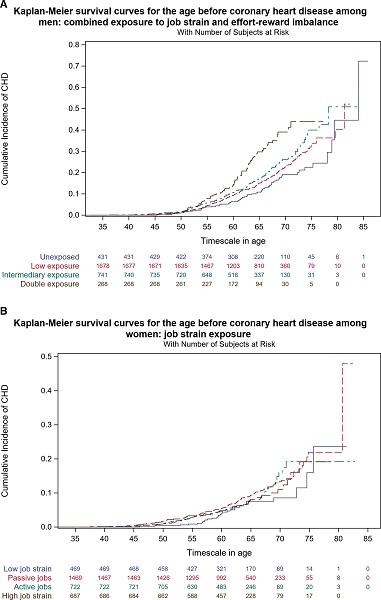
남성의 관상동맥 심장 질환(CHD) 위험 증가
- 직장에서의 심리사회적 스트레스 요인인 업무적 긴장(job strain)과 노력-보상 불균형(effort-reward imbalance, ERI)에 동시에 노출된 남성은 이러한 스트레스 요인에 노출되지 않은 남성에 비해 CHD 위험이 두 배 높았습니다.
- 업무 스트레스나 ERI 중 하나에만 노출된 남성도 CHD 위험이 1.5배 증가했습니다.
여성의 결과는 결론이 없음
- 여성의 경우, 결과는 결론이 없었으며, 업무적 긴장이나 ERI에 노출된 여성에서 CHD 위험 증가가 유의미하게 나타나지 않았습니다.
연구의 심도
이 연구는 18년에 걸쳐 수행된 장기 추적 연구이며, 선택 편향에 대한 교정과 누락된 데이터에 대한 다중 대체 방법을 사용하여 신뢰할 수 있는 결과를 도출했습니다.
이 연구는 직장에서의 스트레스가 남성의 심장 건강에 미치는 장기적인 영향을 보여주며, 특히 남성에게는 중요한 CHD 위험 요인임을 강조합니다. 반면, 여성의 경우 이와 같은 스트레스 요인이 CHD 위험에 미치는 영향은 더 연구가 필요함을 시사합니다. 이러한 발견은 직장에서의 건강과 웰빙 증진 전략을 세우는 데 중요한 기초 자료를 제공합니다.
실생활에의 적용

직장 내 스트레스 관리의 중요성 인식
이 연구는 직장에서의 심리사회적 스트레스가 장기적으로 관상동맥 심장 질환(CHD) 위험에 미치는 영향을 보여줍니다. 따라서, 기업과 조직은 직원들의 스트레스 수준을 관리하고 감소시키기 위한 전략을 개발해야 합니다.
성별 맞춤형 건강 전략 개발
남성과 여성 사이에서 나타난 CHD 위험 차이를 고려하여, 성별에 맞춘 건강 증진 및 예방 프로그램을 설계하는 것이 중요합니다.
직장 건강 프로그램 강화
직장 내 건강 프로그램을 통해 직원들에게 심리사회적 스트레스 관리 기술을 교육하고, 근무 환경을 개선하여 업무 스트레스를 줄일 수 있는 방법을 모색해야 합니다.
근로자의 심리적 안정감 향상
정기적인 스트레스 관리 워크숍, 상담 프로그램, 휴식 공간 제공 등을 통해 직원들의 정신 건강과 웰빙을 지원합니다.
건강한 생활 습관 촉진
운동 프로그램, 건강한 식사 옵션 제공, 금연 캠페인 등을 통해 직원들이 건강한 생활 습관을 유지할 수 있도록 돕습니다.
정책 입안자와 공중 보건 전문가에게의 시사점
연구 결과는 정책 입안자와 공중 보건 전문가들에게 직장 내 스트레스를 줄이기 위한 정책과 프로그램 개발의 중요성을 강조합니다.
개인적 책임과 자기 관리
직장인 개개인도 자신의 스트레스 수준을 인식하고, 적절한 스트레스 관리 기술을 배우며, 일과 생활의 균형을 맞추는 데 주의를 기울여야 합니다.
이 연구 결과를 바탕으로, 직장 내에서의 건강한 환경 조성과 개인의 스트레스 관리 능력 향상이 중요하다는 것을 알 수 있습니다. 이는 단순히 직원의 행복과 만족도를 넘어서서 장기적인 건강과 웰빙에 큰 영향을 미치는 요소입니다.
직장에서의 스트레스 관리는 우리의 심장 건강을 위한 중요한 부분입니다. 이 연구는 특히 남성의 경우, 업무 스트레스와 노력-보상 불균형이 중요한 위험 요인임을 보여줍니다. 건강한 직장 환경을 조성하는 것은 단순히 직원의 행복을 넘어서서 장기적인 건강에도 중요한 영향을 미칩니다.
베르가못 효능 부작용 베르가못 오일 사용법
안녕하세요 오늘은 이탈리아에서 온 향긋한 선물, 베르가못에 대해 이야기해보려 합니다. 베르가못은 베르가못 오일로 만들어 아로마 테라피부터 피부 관리까지, 다양한 분야에서 사랑받는 신
helloworldkor.tistory.com
이유없는 두통 카페인 부작용?
안녕하세요 오늘은 평소 커피를 즐기시는 분들이라면 주목해야 할 내용을 가지고 왔습니다. 바로 주말마다 찾아오는 두통, 이것이 혹시 카페인 때문은 아닐까요? 커피는 많은 사람들에게 사랑
helloworldkor.tistory.com
직장에서의 건강한 환경을 조성하는 것은 모든 조직의 중요한 목표가 되어야 합니다. 이 연구를 통해 우리 모두가 직장에서의 스트레스 관리의 중요성을 인식하고, 보다 건강한 일터를 만들기 위해 노력할 수 있기를 바랍니다.
