
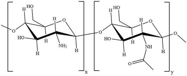
키토산(Chitosan)은 자연에서 널리 분포하는 선형 다당류 중 하나로, 주로 갑각류(게, 새우, 가재 등)의 껍데기에 포함된 키틴을 화학적으로 처리하여 얻어집니다. 키토산은 키틴의 탈아세틸화 과정을 통해 생성되며, 그 결과 나타나는 키토산은 키틴보다 물과 일부 유기산에 더 잘 용해됩니다.

키토산은 그 구조와 특성 때문에 다양한 산업 분야에서 활용됩니다. 주요 활용 사례는 다음과 같습니다:
- 농업 및 원예: 키토산은 식물의 내적 방어 메커니즘을 강화시키는 데 도움을 주며, 이로 인해 식물이 질병에 더 잘 저항할 수 있습니다.
- 필터링 및 정수: 키토산은 물의 미세한 입자나 물질을 묶어냄으로써 물을 정화하는 데 활용됩니다.
- 의료 및 바이오공학: 상처 치료제, 의료용 임플란트, 약물 전달 시스템 등에서 활용되는 재료로 사용됩니다.
- 식품 산업: 키토산은 와인이나 맥주와 같은 음료의 맑게 하는 제제로 사용되기도 합니다.
- 다이어트 보충제: 일부 제품에서는 지방 흡착 능력을 바탕으로 체중 감량 보조제로 판매되기도 합니다.
하지만 모든 활용 분야에 대해 항상 키토산의 효과가 확고하게 입증된 것은 아니므로, 특히 건강과 관련된 제품을 사용할 때에는 주의가 필요합니다.
키토산의 주요 효능

- 혈중 콜레스테롤 개선: 키토산은 과잉된 유해 콜레스테롤을 흡착하여 배설하는 역할을 합니다.
- 지방 흡수 억제: 일부 연구에서는 키토산이 지방 흡수를 억제하여 체중 감소에 도움을 줄 수 있다고 제안되었으나, 이에 대한 확고한 증거는 아직 부족합니다.
- 항균 및 항균 효과: 키토산은 항균 및 항균 효과를 보이는 것으로 알려져 있습니다.
- 다이어트 및 체중 관리: 다만, 키토산만으로의 다이어트 효과는 확정적이지 않습니다. 적절한 운동과 균형 잡힌 식사와 함께 병행하는 것이 중요합니다.
키토산의 부작용

키토산은 대체로 안전하게 사용될 수 있는 물질로 알려져 있지만, 일부 사람들에서는 다음과 같은 부작용이 나타날 수 있습니다
- 소화기 장애: 키토산 섭취 후 설사, 구토 또는 복부 팽만감 같은 소화기 관련 증상이 나타날 수 있습니다.
- 변비: 키토산은 지방을 흡착하므로, 변의 상태에 영향을 줄 수 있습니다. 일부 사람들은 키토산 섭취 후 변이 딱딱해져서 변비 증상이 나타날 수 있습니다.
- 지용성 비타민 흡수 저하: 키토산은 지방을 흡착하는 능력 때문에, 지용성 비타민 (A, D, E, K)의 흡수를 저해할 수 있습니다.
- 알레르기 반응: 키토산은 갑각류에서 추출되므로, 갑각류 알레르기가 있는 사람은 키토산 제품을 섭취할 때 알레르기 반응을 보일 수 있습니다.
- 영양소 흡수 저하: 키토산은 다른 영양소의 흡수도 방해할 수 있는 가능성이 있으므로, 다른 보충제나 필요한 약물과 동시에 섭취하는 경우 흡수가 방해될 수 있습니다.
- 약물 상호작용: 키토산과 다른 약물과의 상호작용 가능성이 있으므로, 다른 약물을 복용 중인 경우 전문가와 상담하는 것이 좋습니다.
키토산 제품이나 보충제를 사용하기 전에는 이러한 가능한 부작용을 고려해야 하며, 특히 기존의 건강 문제나 약물 복용 상태에 따라 전문가의 조언을 구하는 것이 중요합니다.
키토산 다이어트?

키토산은 다양한 건강 및 다이어트 보충제로 널리 알려져 있습니다. 키토산이 다이어트와 체중 관리에 어떤 도움을 주는지, 그리고 그 효능에 대한 과학적 증거와 함께 살펴보겠습니다.
키토산의 작용 원리
키토산은 그 구조상 지방을 흡착하는 능력을 가지고 있습니다. 따라서 키토산을 섭취하면 소화기관에서 지방을 흡착하여 체내에서 배출하는 데 도움을 줄 수 있다는 주장이 있습니다. 이로 인해 섭취한 음식의 칼로리 흡수가 줄어들어 체중 감소에 도움을 줄 수 있습니다.
과학적 연구와 증거
키토산의 다이어트 효과에 대한 연구는 여러 차례 진행되었습니다. 그러나 연구 결과는 혼재되어 있습니다. 일부 연구에서는 키토산이 체중 감소에 도움을 준다는 결과가 나왔지만, 다른 연구에서는 큰 차이를 보이지 않았습니다. 따라서 키토산만을 의존하여 체중 감소를 기대하기는 어려울 수 있습니다.
부작용 및 주의사항
키토산 섭취 시 변의 상태에 변화가 올 수 있습니다. 또한 지용성 비타민의 흡수를 저해할 수 있으므로 장기간 과다하게 섭취하는 것은 지양해야 합니다. 갑각류 알레르기가 있는 사람은 키토산 섭취 시 알레르기 반응이 나타날 수 있습니다.
결론
키토산 다이어트 보충제는 체중 관리에 도움을 줄 수 있는 도구 중 하나일 수 있지만, 홀로 체중 감소의 주요 원인이 되지는 않습니다. 올바른 식단, 꾸준한 운동, 생활 습관의 개선 등 종합적인 접근이 체중 관리에 효과적입니다. 키토산 제품을 섭취하기 전에는 전문가와 상담하는 것이 좋습니다.
키토산 제품 구매 팁

키토산 제품을 구매할 때는 다양한 사항을 고려해야 합니다. 다음은 키토산 제품 구매 시 주의할 점들입니다:
- 원산지 및 제조업체 확인: 키토산의 품질은 원산지 및 제조 과정에 따라 다를 수 있습니다. 신뢰할 수 있는 제조업체 및 원산지의 제품을 선택하는 것이 좋습니다.
- 탈아세틸화도: 키토산의 품질을 나타내는 중요한 지표 중 하나는 탈아세틸화도입니다. 일반적으로 탈아세틸화도가 높을수록 키토산의 품질이 좋다고 판단됩니다.
- 알레르기: 갑각류 알레르기가 있는 사람은 키토산 제품을 섭취하기 전에 반드시 의사와 상담해야 합니다.
- 지방 결합 능력: 다이어트 제품으로서 키토산을 구매하는 경우, 제품의 지방 결합 능력을 확인해야 합니다.
- 추가 성분 확인: 키토산 외에 다른 성분이 포함되어 있는지 확인해야 합니다. 특히, 첨가물, 방부제, 색소 등이 포함되어 있지 않은지 확인하는 것이 좋습니다.
- 사용 방법 및 용량: 제품의 사용 방법 및 권장 용량을 정확히 확인하고 지켜야 합니다. 과다 섭취는 부작용을 일으킬 수 있습니다.
- 유통기한: 모든 건강 보조제와 마찬가지로 키토산 제품도 유통기한을 반드시 확인하고, 기한이 지난 제품은 섭취하지 않아야 합니다.
- 인증 및 권장: 관련 기관에서의 인증 또는 권장을 받은 제품을 선택하는 것이 좋습니다.
- 가격: 고가의 제품이 항상 좋은 품질을 보장하는 것은 아닙니다. 제품의 특성과 필요에 따라 적절한 가격대의 제품을 선택하는 것이 중요합니다.
키토산 제품 구매 시 위의 사항들을 참고하여 안전하고 효과적인 제품을 선택할 수 있습니다.
키토산은 자연에서 얻을 수 있는 놀라운 물질로, 다양한 분야에서 그 효능을 인정받고 있습니다. 그러나 섭취 시에는 주의사항을 잘 지켜 안전하게 활용해야 합니다. 키토산에 대해 이 포스트를 통해 자세히 알게 되셨길 바랍니다.